
1 kg 还是原来那个重量,但它将不是原来那个 1 kg 了。
最近,国际计量大会经过投票将千克的定义,修改为以普朗克常数(Planck Constant)相关的一个标准值。

而在此之前的一百多年里,千克的定义一直是法国巴黎国际度量衡局总部地下的一个铂 – 铱合金圆柱体。这个国际千克原器(The International Prototype Kilogram),又简称为 IPK 或大 K(Le Grand K),是目前地球上的质量标准。
我国的千克原器是 1965 年向国际度量衡局申请的「K60」。这个砝码会定期送到度量衡局总部进行校准,并定期与中国国家度量衡实验室(NML)的不锈钢副本进行对比校正,再以此作为标准砝码应用到各个领域。

▲ 美国千克原器 K20
国际度量衡局之所以要弃用这个物理实体的度量衡,主要是因为它的质量随着时间的推移在变小。每年工作人员会打开一次地下室检查,并且每间隔 30 年,这个千克原器以及它的六个官方副本都会被取出进行清洁。
然而即使小心谨慎地呵护,这块金属大 K 以及它的副本在以非常缓慢的速度丢失重量。丢失的程度有多严重?历时一个世纪 ,少了 50 微克,相当于一颗小小沙子的重量。
这颗小沙子如果是在菜市场上买菜称肉不算什么,然而对于贵金属、制药、化学工业等需要精密计算的领域而言,就会变成严重的损失,甚至是生产事故。
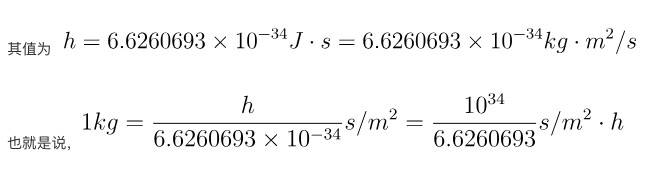
因此,「千克」这个国际通用的重量单位,需要由一个稳定的量来定义。普朗克常数是现代物理学中的常数之一。

▲ 左三为普朗克,左二为爱因斯坦,图片来自:维基百科
物理学家普朗克在研究辐射能量的时候,推导出公式 :E = hν,其中 E 是能量,v 是辐射的频率,h 则是一个常数,最后这个常数被名为普朗克常量(Planck constant)。
这个公式支配着目前人类所能理解的量子现象,可以说普朗克常量打开了现代物理学的大门,改变了当时物理学的研究方向,至今仍深刻影响人类的科学发展。
千克的新定义,将在 2019 年 5 月 20 日开始生效。然而千克并不是第一个被重新定义的国际单位。国际单位制共有七个,分别是:
- 质量的单位千克
- 电流量的单位安培
- 时间的单位秒
- 发光强度的单位坎德拉
- 物质量的单位摩尔
- 热力学的单位开尔文
- 长度的单位米
其中「秒」的定义,在 1967 年从「 1960 年地球自转一周时间的 1/86,400」,修改为:铯 133 原子基态的两个超精细能级间跃迁对应辐射的 9,192,631,770 个周期的持续时间。

▲ 我国研发的铯原子喷泉钟,图片来自:中国计量单位研究所
2014 年,中国计量科学研究院 (NIM,以下简称中国计量院)研发的铯原子喷泉钟获准参与驾驭原子时。在 2019 年对「秒」重新定义的时候,中国也会参与表决。
1983 年,「米」的定义修改为光在 1/299,792,458 秒内传播的距离。
由于各个国际单位相互关联,因此一个的定义被修改后,还会有更多的度量单位也需要跟着更新自己的标准。安培、摩尔和开尔文这些单位的定义也在重新修订。
纵观历史,计量单位一直在更新,驱动其进行迭代的原因,除了像秦始皇统一度量衡这种政治经济原因,更多是因为技术的进化。计量单位的标砖,从人类可以摸可以看到的实体,到需要借助仪器才能观察到的电磁波、原子等,目前进入用量子力学来定义的时代。
这次修订后的「千克」,将脱离物理实体的束缚。按照业界的计划,修订后的国际计量单位,将不仅适用于地球,在其他星球上也同样适用。
#欢迎关注爱范儿官方微信公众号:爱范儿(微信号:ifanr),更多精彩内容第一时间为您奉上。
from 爱范儿 https://ift.tt/2qWtbI1
via IFTTT
没有评论:
发表评论